Service hotline:

+86-571-56780202
HomeProducts
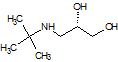
(S)-3-tert-Butylamino-1,2-propanediol
Product Name: (S)-3-tert-Butylamino-1,2-propanediol
CAS No.:30315-46-9
Structural formula:

Contact US

Hangzhou office
100-417 Wulin Road, Hangzhou, China 310006

Tel: +86-571-56780202 56780201

Fax: +86-571-56780200

E-mail: sales@longchemcorp.com